您的當前位置:首頁 > 產品知識 > 更多產品知識 > 礫磨的給礦及礫磨介質
作者:紅星機器 發布時間:2017-09-08 14:10:51
礫磨機的給礦粒度依礫磨在整個工藝流程中所起的作用而不同。如用于棒磨機后的二次磨礦,給礦粒度一般是0.8~0.2毫米;若用于自磨機后的二次磨礦,則給礦粒度一般在0.30~0.075毫米左右,用于一次磨礦時,給礦是細碎后的產物,其粒度較大為10~22毫米。

礫磨用的介質簡稱礫介。礫介的尺寸是依據礫介的重量與普通鋼球磨礦介質的重量相等的原則而決定的。那么,也就是說,礫介的大小與礦石的比重成反比。如第二段球磨通常采用重約140克、直徑為35毫米的鋼球,若礦石的比重分別為2.8和4.0時,則相應的礫介直徑應分別為49和43毫米。經驗表明,為了進行有效地磨礦,要求礫介的粒度范圍盡可能的窄,以利于從磨料中除去小顆粒礫介。但礫介的粒度范圍將取決于礫介的耗量,礫介的耗量越少,粒級范圍可能越窄,礫介的耗量大,則無法達到這一要求。此外,礫介的粒度范圍還和礫介的供給途徑有關。不同情況下的礫介粒度的大致范圍如下:粗磨時,礫介的粒級范圍為+% , )’% 毫米。細磨時,如礫介來自上段自磨機中,則粒級范圍為80~250毫米;如礫介從破碎產物篩分而得,則粒級范圍一般為40~80毫米,若礫介消耗量大,粒級范圍可擴大到30~100毫米。
礫介的供給方式有兩種:通常是從中碎產物中篩出,若礫介耗量大,還可從粗碎產物中部分篩出;另一種方式是取自自磨機,辦法是在自磨機的每塊格子板上開有2~3個礫石孔,磨機的排礦經篩分后,篩下粒級返回自磨機,篩上粒級作為第二段礫磨的礫介。后一種情況下所得的礫介呈圓形且較堅硬,是較為理想的礫介。
礫介的消耗與礫的物理性質、機械性質、礫介的粒度、磨礦濃度、磨機的直徑、襯板的結構及磨機的轉速率等有密切的關系。
抗磨性和沖擊強度差的礦石,自然會使礫介的消耗量大,并在一定的情況下,可能使第二段礫磨成為不可能。礫介的粒級愈粗,礫介的消耗量愈大。如某礦首段礫磨機的礫介粒度為80~250毫米時,礫介的消耗量為47公斤/千瓦時;而在第二段礫磨機的礫介粒度為40~80毫米時,礫石耗量為17公斤/千瓦時。磨礦濃度愈低,礫介間的接觸愈多,礫介磨損也愈快。尤其值得注意的是,礫介的消耗隨磨機直徑的加大而迅速增加,如圖3-3-16所示,礫石耗量是磨機直徑的函數,當磨機直徑增加50%時,礫石的消耗量加倍。此外,礫介的消耗量隨磨機轉速率的增加而增加。提升襯板越高,礫介耗量也越大。如有一硫化礦的第二礫磨,裝有80毫米高的新橡膠提升板,與低波紋形剖面已磨損的襯板相比,前者的礫石耗量為后者的兩倍。

性小,而礦石的比重可能由貧礦的2.8變化到重硫化礦的5,所以礫磨的濃度表示以固體體積百分數計算更有意義。礦漿濃度低,則粘性小,礫介在礦漿中的運動自由度大,礫介的有效比重大,磨礦作用強,因而磨礦效率高;不過礫介相互間直接接觸有所增加,因而礫介的耗量也大些。在礦漿濃度高的情況下,礦漿粘附于礫介上,礫介耗量可減少;但礫介的有效比重減輕,磨礦作用減弱,致使磨礦效率降低。故礫磨的磨礦濃度一般要比球磨低5~10%。如球磨中為使鋼球消耗減至小,磨礦濃度按體積百分數計算應保持45~50%左右,則礫磨礦漿濃度一般保持在35~45%(重量百分數60~70%)左右為宜。此外,礫磨濃度的確定還取決于礫介的大小和重量,首段礫磨的礦漿濃度應比第二段礫磨的礦漿濃度高。
礫磨的產品粒度根據礦物的解理要求而定,其細度可高達95%-325目。而且發現,磨礦粒度越細,單位處理能力和球磨機越近似。如磨到75~85%-0.074毫米時,其單位處理能力比球磨機降低25~35%。在磨到95%-0.074毫米時僅降低10%。在磨到90~95%-0.05毫米時單位處理能力幾乎相等。故礫磨用于細磨時更經濟。

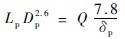
據克羅克證實,同樣重量的礫石和鋼球在同樣條件下具有同等的磨礦能力,而礫磨的處理能力又與礫介的比重成正比,故礫磨機的生產率可按球磨機的生產率進行推算。礫磨機所需規格按下式計算:
![]()
式中:Lp,Dp———分別為礫磨機的長度與直徑,米;
Q———球磨機的處理能力,噸/時;
———礫介比重。
因此,當用球磨機改裝成礫磨機時,為了保持處理能力不變,磨機的容積必須按比例增加,以適應裝入的礫介重量與改裝前裝入的鋼球重量相等。實踐證明,一般需增加容積25~40%左右。
此外,礫磨機的處理能力與排礦型式有關。格子型礫磨機的處理能力比溢流型礫磨機高40%。榜德認為球磨機改為礫磨機時,為了保持同樣處理能力,其容積需增加為球磨機的
倍。式中f為系數,對溢流型球磨機取f=1.3,對格子型球磨機取f=1.1。
上一篇:礫磨機的結構特點
如果您想了解我們的產品,可以隨時撥打我公司的銷售熱線或點擊咨詢!![]()
推薦閱讀
TOP169鄂破機價格及型號參數鄂破機
TOP257鄂破機一小時能產多少噸物料鄂破機
TOP3時產1000噸石料生產線設備有哪些?多少錢?石料生產線價格
TOP4140圓錐破時產多少石子圓錐破 圓錐破碎機
TOP5小型碎沙機多少錢一臺?碎石機
TOP6一套碎石機大概需要多少錢碎石機
TOP7生產雷蒙磨粉機(雷蒙磨)的廠家磨粉機
TOP869破碎機一小時處理多少立方石子?破碎機 69顎式破碎機
TOP91060顎破型號有哪些?什么價?顎破 顎式破碎機
TOP10每小時產200噸的石子破碎機多少錢一臺?破碎機
TOP11時產500噸石子生產線配置方案_廠家報價生產線
TOP12銷量較好的雷蒙磨粉機型號有哪些雷蒙磨粉機
換一換 ![]()
想讓資深工程師為您設計生產方案?想獲取全套設備優惠報價單?請留言,專業經理即刻開始為您一對一服務!(不用擔心信息泄露,我們將為客戶提供信息保密服務!)
來廠考察即可獲取資深工程師為您設計方案
多機型現貨可選,簽訂合同,2天內發出
售后團隊親臨現場,指導設備安裝、試車,完成交付
跟蹤砂場運營情況,提供生產運營指導,保障砂場快速盈利
磨礦工藝流程是磨礦設備工作的基礎,在實際生產過程中根據作業需求制定合理的磨礦流程是關鍵。球磨機的磨礦工藝流程我們已經有所...
201411.03
查看詳情礫磨通常用于細磨,作為棒磨和自磨的二次磨礦設備,在個別情況下也有用于粗磨的。礫磨機與球磨機結構基本相同,故現有選礦廠的球...
201010.09
查看詳情隨著磨機中鋼球添加量的增加,磨機的處理能力顯著提高,雖然功率消耗是增加的,但比功率消耗卻明顯下降。...
201010.08
查看詳情縮短現有碎礦和磨礦流程,降低金屬消耗量,就必然成為技術革新的課題。自磨機和礫磨機的應用,便是目前解決這個問題很有發展前途...
201010.08
查看詳情河南紅星礦山機器有限公司 總部地址:鄭州市高新區梧桐街與紅松路交叉口中國高端礦機生產出口基地園區
工程師免費設計方案已有162位獲得心儀的方案
算一算 搭配一條合適的生產線需要多少錢?
點擊獲取報價